Hey all,
Happy new year! This is Alex, writing to you for the very fresh start of this year, it’s 2026 already, can you believe it?
There was no live stream today, I figured the cohosts deserve a break and honestly it was a very slow week. Even the chinese labs who don’t really celebrate X-mas and new years didn’t come out with a banger AFAIK.
Tho I thought it was an incredible opportunity to finally post the Will Brow interview I recorded in November during the AI Engineer conference.
Will is a researcher at Prime Intellect (big fans on WandB btw!) and is very known on X as a hot takes ML person, often going viral for tons of memes!
Will is the creator and maintainer of the Verifiers library (Github) and his talk at AI Engineer was all about RL Environments (what they are, you can hear in the interview, I asked him!)
TL;DR last week of 2025 in AI
Besides this, my job here is to keep you up to date, and honestly this was very easy this week, as… almost nothing has happened, but here we go:
Meta buys Manus
The year ended with 2 huge acquisitions / aquihires. First we got the news from Alex Wang that Meta has bought Manus.ai which is an agentic AI startup we covered back in March for an undisclosed amount (folks claim $2-3B)
The most interesting thing here is that Manus is a Chinese company, and this deal requires very specific severance from Chinese operations.
Jensen goes on a new years spending spree, Nvidia buys Groq (not GROK) for $20B
Groq which we covered often here, and are great friends, is going to NVIDIA, in a… very interesting acqui-hire, which is a “non binding license” + most of Groq top employees apparently are going to NVIDIA. Jonathan Ross the CEO of Groq, was the co-creator of the TPU chips at Google before founding Groq, so this seems like a very strategic aquihire for NVIDIA! Congrats to our friends from Groq on this amazing news for the new year!
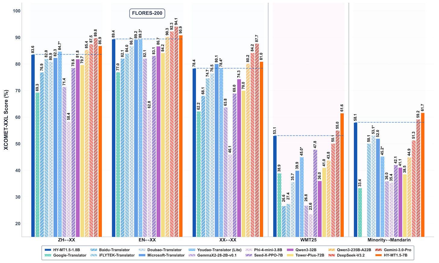
Tencent open-sources HY-MT1.5 translation models with 1.8B edge-deployable and 7B cloud variants supporting 33 languages (X, HF, HF, GitHub)
It seems that everyone’s is trying to de-throne whisper and this latest attempt from Tencent is a interesting one. a 1.8B and 7B translation models with very interesting stats.
Alibaba’s Qwen-Image-2512 drops on New Year’s Eve as strongest open-source text-to-image model, topping AI Arena with photorealistic humans and sharper textures (X, HF, Arxiv)
Our friends in Tongyi decided to give is a new years present in the form of an updated Qwen-image, with much improved realism
That’s it folks, this was a quick one, hopefully you all had an amazing new year celebration, and are gearing up to an eventful and crazy 2026.
I wish you all happiness, excitement and energy to keep up with everything in the new year, and will make sure that we’re here to keep you up to date as always!
P.S - I got a little news of my own this yesterday, not related to AI. She said yes 🎉

















